Image Classification of Handwritten Digits with fastai
neural network
MNIST
imagery
python
fastai
Building a neural network from scratch
neural network
deep learning
ReLU
Machine learning
gaussian process
python
pytorch
Machine learning basics
Machine learning
fundamentals
gradient descent
python
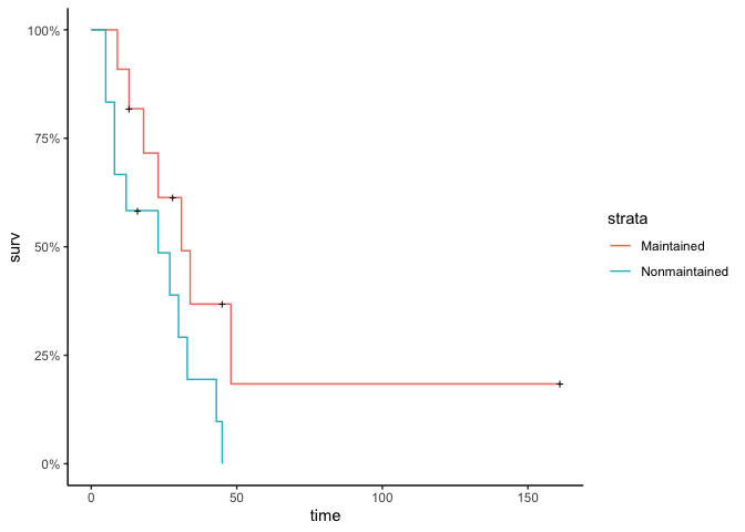
Survival analysis with Poisson trick
Bayesian
survival analysis
brms
rstanarm
R
No matching items


